022-28750273

引述中科院刘维民院士团队《Chemical Reviews》综述:力学“协同方法学”如何指导光学胶研发

发布日期:2026-01-07 18:10:20   来源 : Endurica    作者 :易瑞博科技    浏览量 :2
易瑞博科技 Endurica 发布日期:2026-01-07 18:10:20  
2

在光学胶的研发中,我们常常面临一个核心矛盾:通过精妙的分子设计与网络构建,材料在理论上拥有了优异的性能,但它在实际工况下的长期表现——能承受多少次弯折?在持续应力下会否失效?——却往往因缺乏关键的连接数据而难以回答。

正如刘维民院士团队在《Chemical Reviews》关于“聚合物凝胶力学调控”的重磅综述中所指出的,前沿的解决思路是 “协同方法学”(synergistic methodology)——即协同运用分子工程结构工程策略,以达成强度、韧性、弹性、疲劳等多重力学属性的最佳权衡。

原文链接:

https://doi.org/10.1021/acs.chemrev.3c00498。

展示聚合物凝胶力学调控的普适力学机制以及分子工程和结构工程调控策略




理论上的“协同”

需要数据的“验证”



该综述详尽阐释了实现力学调控的两大路径,而这正对应着我们在材料测试中需要验证的核心:

01

分子工程的验证挑战

通过引入多种非共价相互作用(如氢键、离子键、主客体作用),或调控交联剂效应链缠结密度,可以在分子尺度构建高效的能耗散机制。但关键在于:这些设计的“理论韧性”能否转化为产品在百万次循环载荷下的“实际耐疲劳性”?

02

结构工程的验证挑战

通过溶剂相调控、构建机械互锁网络异质模量组分等宏观拓扑结构,可以实现裂纹偏转、应力分散等效果。但核心问题是:这些精心设计的结构,其失效的起点和路径究竟是怎样的?如何量化其抗裂纹扩展的能力?

展示通过协同方法学设计具有不相容性能的兼容性凝胶




跨越鸿沟:

连接微观设计与宏观失效的关键测试



要回答上述从该综述中引申出的具体问题,仅依靠传统的性能测试已显不足。它需要一套能够从基础力学性能到长期失效机理的完整测试体系,以直接洞察材料在不同尺度下的力学行为。

在我们的研究与合作伙伴实践中,以下测试方法被证明是打通从“设计理念”到“失效预测”认知闭环的关键:

建立材料力学“基线”:

基础力学性能测试

  • 单轴拉伸测试用于获取材料最基本的弹性模量、拉伸强度与断裂伸长率,是评估材料刚性、强度与延展性的基础。

  • 平面剪切与简单剪切测试用于量化材料在剪切力作用下的模量与强度,对于评估光学胶在界面错动或层间应力下的可靠性至关重要。

  • 这些基础数据不仅是材料筛选与质控的依据,更是构建精准本构模型、进行有限元仿真的必备输入。

量化“非共价作用”的耗能效率:

动态疲劳裂纹扩展测试

综述强调,非共价相互作用是分子工程的核心耗散机制。我们的此项测试,通过精确测量裂纹扩展速率(da/dN),能直接量化不同分子设计(如氢键密度、离子相互作用强度)在循环载荷下反复断裂与重建的耗能效率,为评判分子设计方案的长期耐久性提供最直接的实验证据。

预判“异质结构”的失效起点:

静态蠕变裂纹扩展与多轴测试

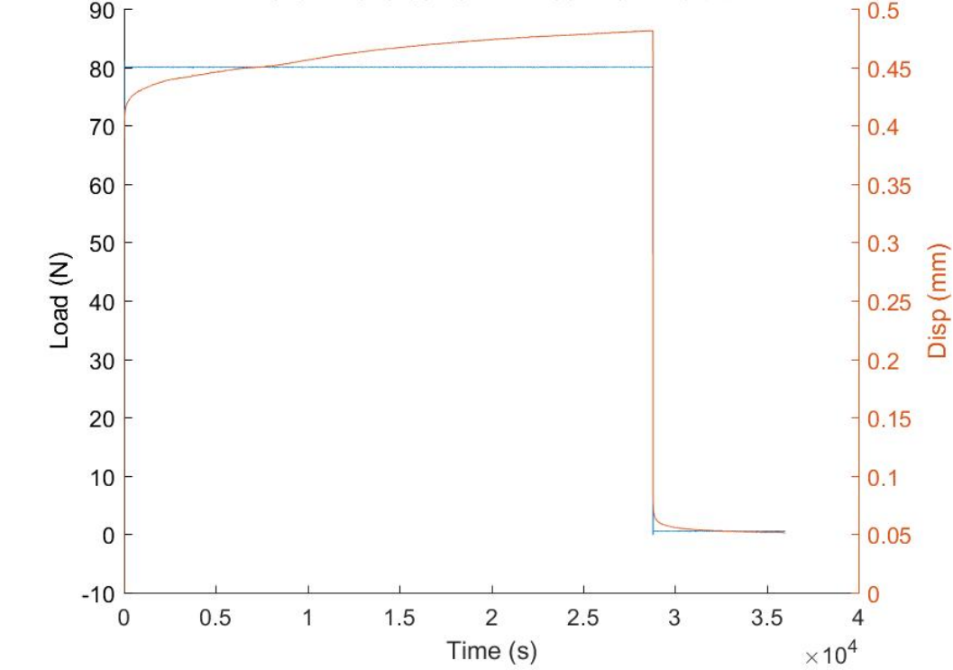
针对综述中重点提及的异质模量组分机械互锁等结构工程策略,静态蠕变测试能揭示在持续应力下,裂纹是否倾向于在模量过渡区萌生和缓慢扩展。而双轴十字拉伸测试则能评估异质结构在复杂应力状态下的各向异性行为,判断其设计是否真正实现了应力均化。

我司测试获得的静态蠕变裂纹扩展测试应力应变曲线

评估“网络结构”的长期稳定性:

应力松弛测试

无论是分子工程中的交联剂效应,还是结构工程中的溶剂相调控,最终都影响了聚合物网络的粘弹性。应力松弛测试能精准捕捉网络链段在恒定形变下的重组与流动特性,预测材料在长期服役中的夹持力保持率,防止因应力松弛导致的粘接失效。

我司测试获得的应力松弛测试应力应变曲线

我们的专注:为您揭示材料力学行为的内在逻辑


易瑞博科技团队源于清华大学在材料力学领域的深厚积累。我们专注于一件事:运用专业的测试与分析手段,帮助您看清从分子/结构设计到宏观性能与失效的内在逻辑。

我们不做材料配方,但我们致力于成为您可靠的研发伙伴,帮助您:


通过基础力学测试快速表征材料性能基线,为筛选与建模提供数据。


通过专业耐久性测试验证新分子结构或网络设计理念的实际效果。


定位产品在可靠性测试中失效的根本原因。


为您的仿真模型和寿命预测提供坚实、可信的数据支撑。

从论文学术思想到产业研发挑战,中间横亘的正是对材料力学行为的深刻理解与精准量化。我们期待与您一同,用数据驱散迷雾,共同攻克光学胶乃至更多高分子材料面临的力学瓶颈。

如需就您具体研发中遇到的力学问题深入探讨,我们随时欢迎技术交流。



—关注我们,了解更多精彩—



B站

视频号


求点赞


求分享


求喜欢


声明:图片转载自网络,仅用于行业交流,版权归原作者所有,如有侵权,请联系我们删除,感谢理解。

联系电话

022-28750273

发送邮件

 business@e-rubber.com.cn

微信二维码

    

© Copyright 2026易瑞博科技(天津)有限公司
手机: 022-28750273
邮箱: business@e-rubber.com.cn
地址:天津市津南区咸水沽镇海棠众创大街D区海棠空间-S-310-02
支持 反馈 订阅 数据